Are you looking for unit 5 empirical formulas worksheet answers? Look no further! Understanding empirical formulas can be tricky, but with the right resources, you’ll master it in no time.
Empirical formulas are essential in chemistry to determine the simplest whole number ratio of atoms in a compound. By practicing with worksheets, you can improve your skills and gain confidence in solving these types of problems.

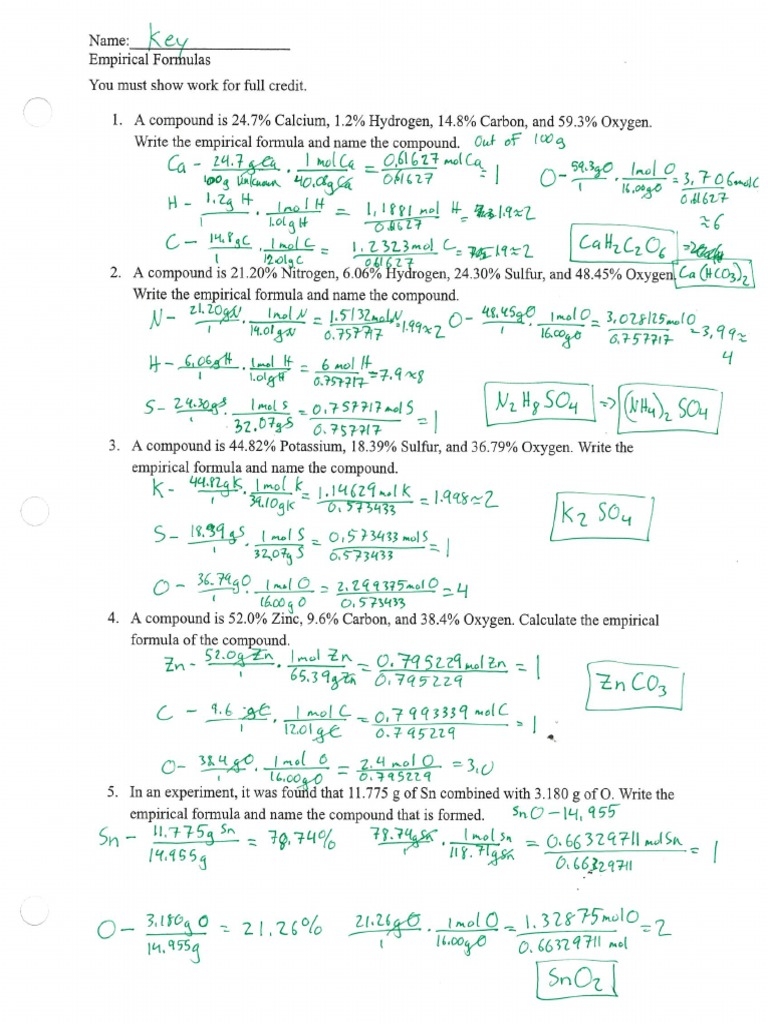
unit 5 empirical formulas worksheet answers
Unit 5 Empirical Formulas Worksheet Answers: A Helpful Guide
One way to approach these worksheets is to start by writing down the elements present in the compound and their respective masses. From there, you can calculate the molar ratios and determine the empirical formula.
Remember, practice makes perfect! Don’t get discouraged if you don’t get the right answer on your first try. Keep working through different problems, and you’ll soon see improvement in your ability to solve empirical formula questions.
If you’re feeling stuck, don’t hesitate to ask for help. Reach out to your teacher, classmates, or online resources for additional support. Working through problems together can be a great way to enhance your understanding of empirical formulas.
In conclusion, mastering unit 5 empirical formulas worksheet answers is achievable with dedication and practice. Stay consistent in your efforts, seek help when needed, and don’t give up. You’ll soon be confidently solving empirical formula problems like a pro!

Free Empirical molecular Formula Practice Worksheets Worksheets Library

Determining Empirical Formulas Worksheet

50 Empirical And Molecular Formulas Worksheet

Chemistry Unit 5 Worksheet 2 Empirical And Molecular Formulas Answers

Empirical Formulas Worksheet 1 Answers PPT Working With Empirical