If you’ve been struggling with understanding the laws of exponents, don’t worry – you’re not alone! Many students find this topic tricky at first, but with a little practice, you’ll be a pro in no time.
Exponents may seem intimidating, but they’re actually just a way of expressing repeated multiplication in a more concise form. Once you get the hang of it, you’ll see that it’s not as complicated as it seems.

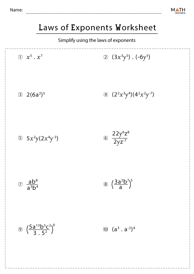
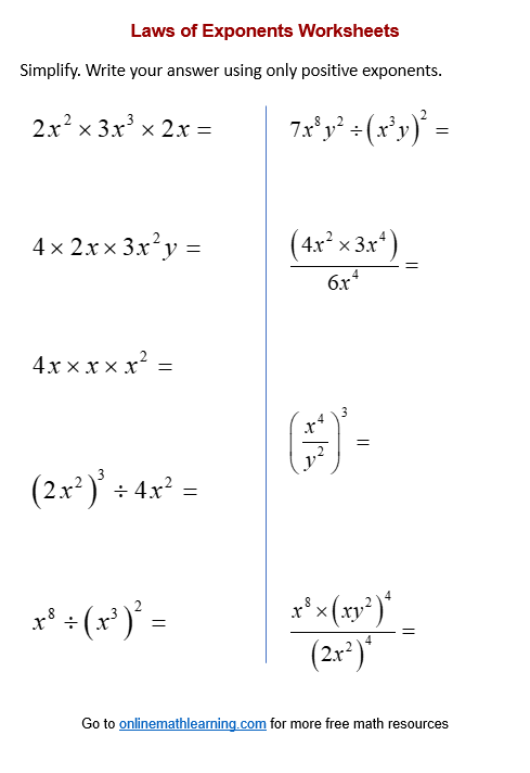
laws of exponents worksheet
The Benefits of Using a Laws of Exponents Worksheet
One of the best ways to master the laws of exponents is by using a worksheet. These handy tools provide practice problems that can help reinforce your understanding of the rules and give you the confidence you need to tackle more complex equations.
By working through a variety of problems on a worksheet, you’ll be able to see the patterns and relationships between different exponents more clearly. This hands-on approach can make a big difference in how well you grasp the concepts and apply them in different scenarios.
Additionally, worksheets can help you track your progress and identify areas where you may need more practice. This targeted feedback can be invaluable in improving your skills and building a strong foundation for more advanced math concepts.
So, next time you’re feeling stuck on the laws of exponents, don’t hesitate to grab a worksheet and start practicing. With a little dedication and perseverance, you’ll be solving exponent problems like a pro in no time!

Solving Exponents Worksheets

Laws Of Exponents Worksheets Worksheets Worksheet Hero

Law Of Exponents Worksheets printable Online Answers Examples

Laws Of Exponents Exponent Rules Practice 121 Examples Into 17

Exponent Rules Digital And Printable Worksheets Library